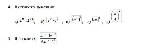
СРОЧНО ЗАДАНИЕ 4, 5 ТАК ДАЮ 70 баллов НО ТАМ СПИШЕТСЯ ЧУЧУТЬ ПОЖАЛУЙСТА МНЕ ЗДАВАТЬ ЧЕРЕЗ 3 ЧАСА
Приложения:

Ответы
Ответ дал:
0
Ответ:
скачай фотоматч........................
Вас заинтересует
2 года назад
2 года назад
2 года назад
7 лет назад
7 лет назад
9 лет назад
9 лет назад