Ответы
Ответ дал:
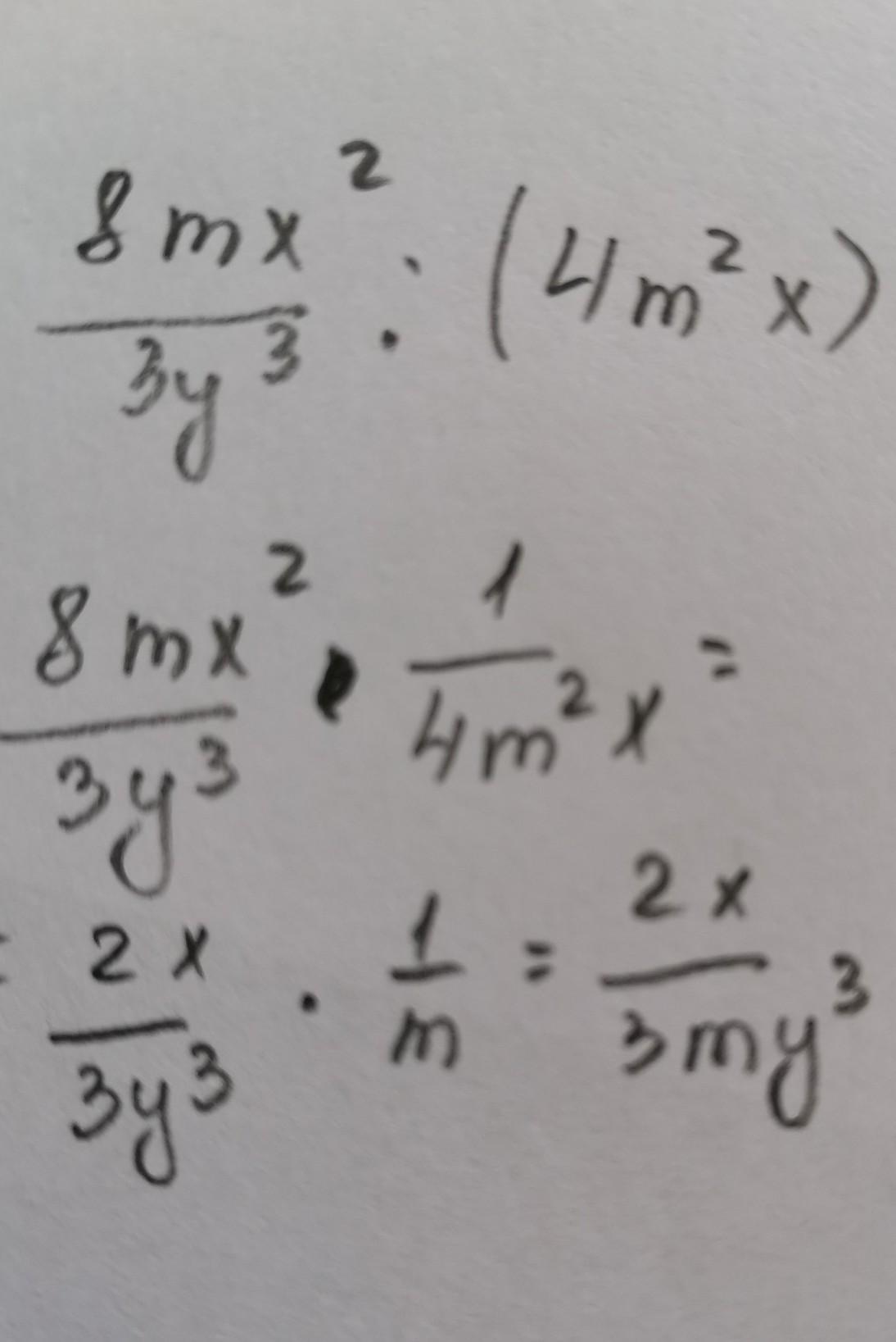
1
Пошаговое объяснение:
Надеюсь понятно))))))))
Приложения:




misterigraman36:
Спасибо огромное
Вас заинтересует
2 года назад
2 года назад
2 года назад
2 года назад
7 лет назад
7 лет назад
9 лет назад
9 лет назад