• Предмет: Алгебра
  • Автор: malinurasametova07
  • Вопрос задан 3 года назад

Помогите плииз
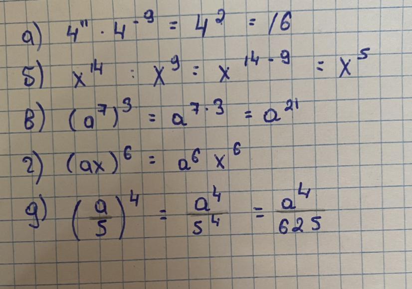
а)4^11*4^-9=
б)х^14:х^9=
в)(а^7)^3=
г)(ах)^6=
д)(а/5)^4​

Ответы

Ответ дал: wwwxhk
10
Надеюсь я вам помогла :)
Приложения:

akonaika3197: спасибо
Вас заинтересует