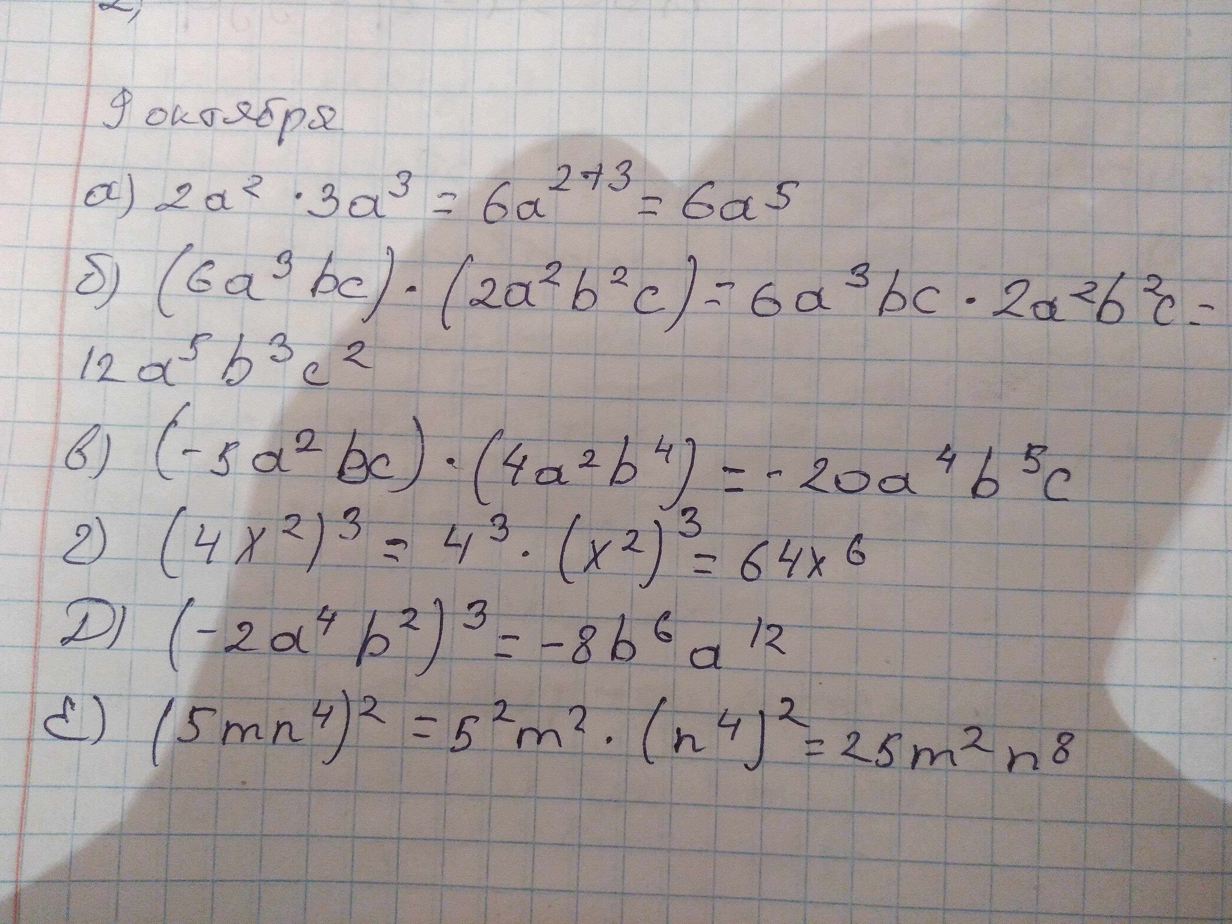
выполни действие:
a) 2a^2 * 3a^3.
б) (6a^3 bc) * (2a^2 b^2c)
в) (-5a^2 bc ) * (4a^2 b^4)
r) (4x^2)^3
д) (-2a^4 b^2)^3
e) (5mn^4)^2
даю 24 бала,
помогите пж
Ответы
Ответ дал:
0
Ответ://///////////////////////
Объяснение:
Приложения:

Вас заинтересует
2 года назад
2 года назад
2 года назад
2 года назад
7 лет назад
7 лет назад
9 лет назад