Ответы
Ответ дал:
1
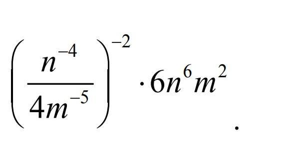
Ответ:
Объяснение:
!!!!!!!!!!!!!!!!!!!!!!!!!!
Приложения:

parus77:
в ответе потеряли 6.
Ответ дал:
0
Ответ:
Объяснение:
Вас заинтересует
2 года назад
2 года назад
2 года назад
7 лет назад
7 лет назад
9 лет назад
9 лет назад