• Предмет: Алгебра
  • Автор: Аноним
  • Вопрос задан 3 года назад

сделайте прошу
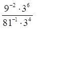
Упростите выражение:

Приложения:

Ответы

Ответ дал: Аноним
0

9

9^-2=1/81

81^-1=1/81 Сокращаются

3^6 и 3^4 сокращаются остается 3^2/1

Ответ дал: tamarabernukho
1

Ответ:

9

Объяснение:

\dfrac{9^{-2}\cdot3^6}{81^{-1}\cdot3^4}=\dfrac{3^{-4}\cdot3^6}{3^{-4}\cdot3^4}=3^2=\bold9 \\

Вас заинтересует