• Предмет: Алгебра
  • Автор: Аноним
  • Вопрос задан 3 года назад

Помогите, пожалуйста с заданиями, я не понимаю

Приложения:

Ответы

Ответ дал: lanwantszi
1

Ответ:

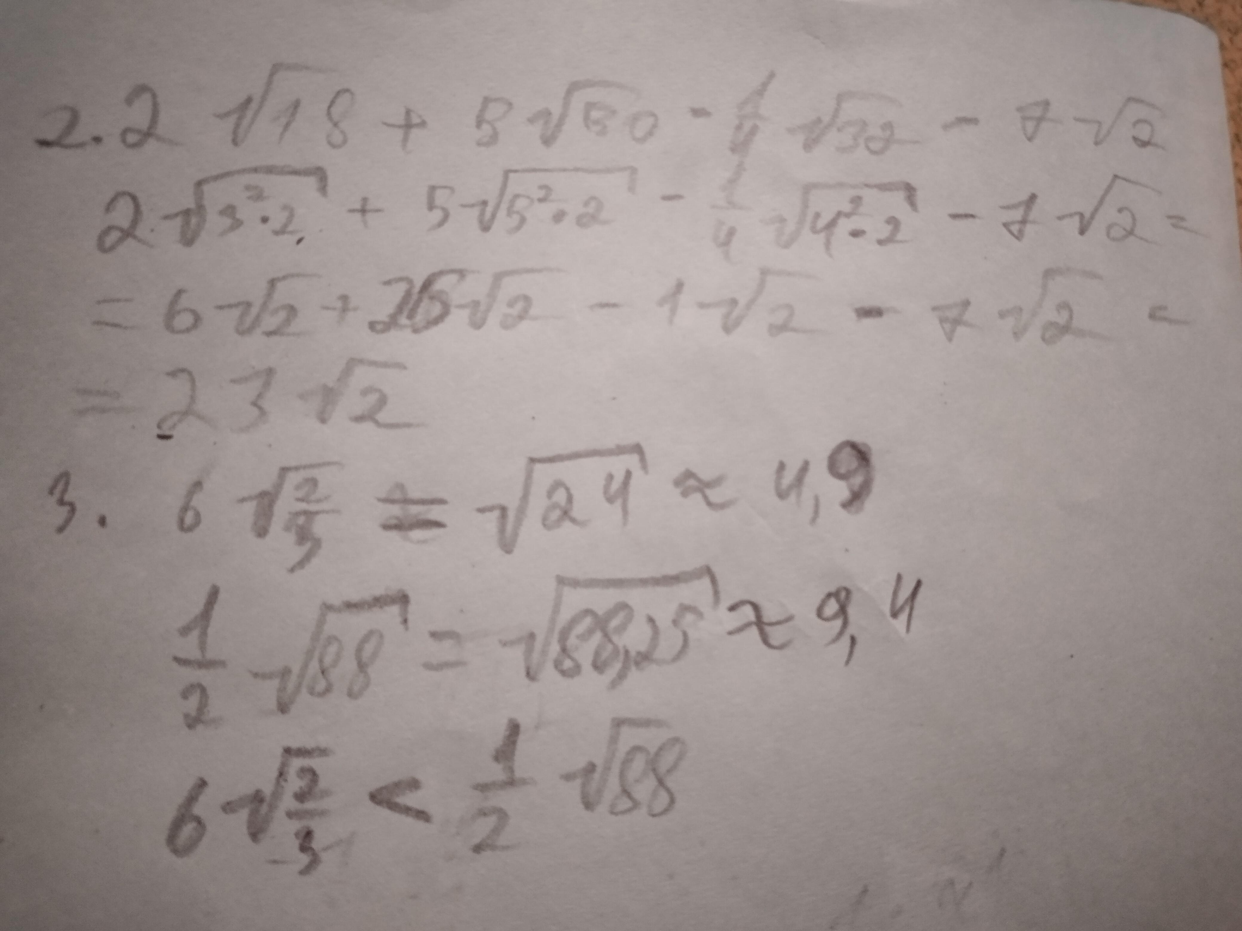
А)5 корней из 2 это корень из 27.

Б)-7 корней из одной целой одной седьмой это корень из 56

Объяснение:

2,3 не уверена, но вроде так

Приложения:

Аноним: А 2 и 3 можете решить?
lanwantszi: Сейчас
lanwantszi: Готово
Аноним: Огромное Вам спасибо)))
Вас заинтересует