• Предмет: Алгебра
  • Автор: krokodili
  • Вопрос задан 3 года назад

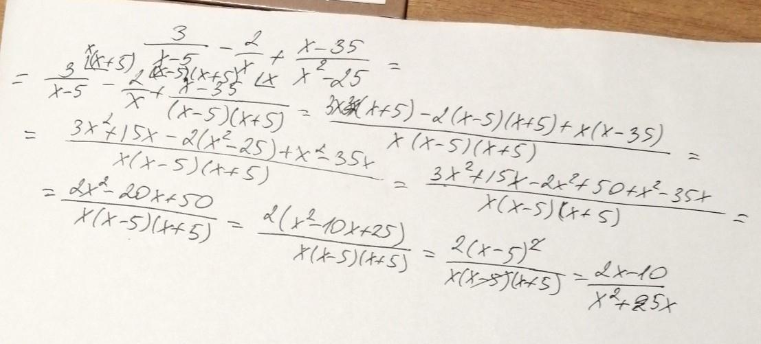
Упростите выражение
(фото)

Приложения:

Ответы

Ответ дал: daralukanova93
0

Если будут вопросы - спрашивай

Приложения:

daralukanova93: так стоп
daralukanova93: блин
krokodili: Мы еще не изучали дискриминант или теорему Виета, вроде
daralukanova93: извини
daralukanova93: я сейчас перерешаю
daralukanova93: я в 11 просто
krokodili: По другому никак?
krokodili: Спасибо
daralukanova93: сделала
krokodili: Спасибо большое, но все равно не так как нужно, у меня уже есть ответ, не заморачивайся
Вас заинтересует