• Предмет: Алгебра
  • Автор: radmirstas2007
  • Вопрос задан 3 года назад

Прошу помочь пожалуйста
Дам 40 баллов

Приложения:

Ответы

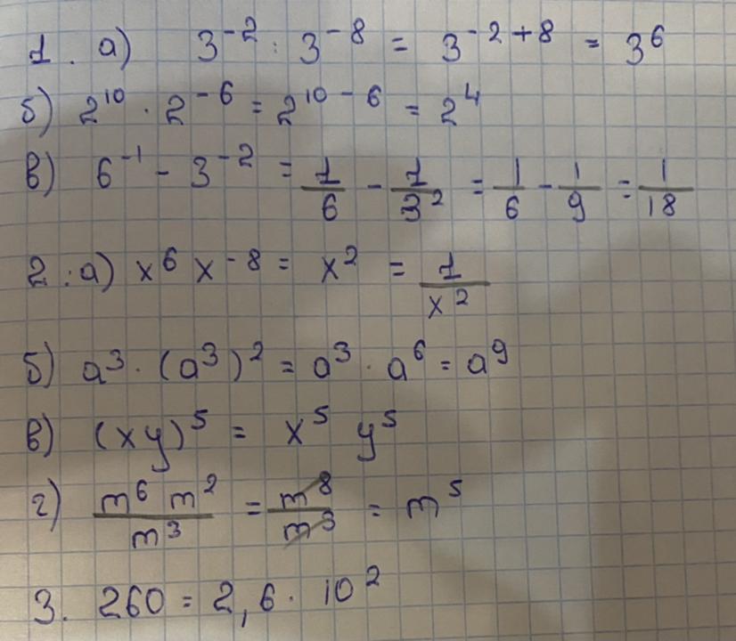
Ответ дал: 2005dianasorokina200
0
А) 3^6
Альтернативное число 729
Б) корень 32
Примерно 1,11439
В) 1

8
Ответ дал: wwwxhk
1

Я ответила не на всё , но надеюсь что помогла :)
Приложения:
Вас заинтересует