• Предмет: Алгебра
  • Автор: KiroSkitsky
  • Вопрос задан 3 года назад

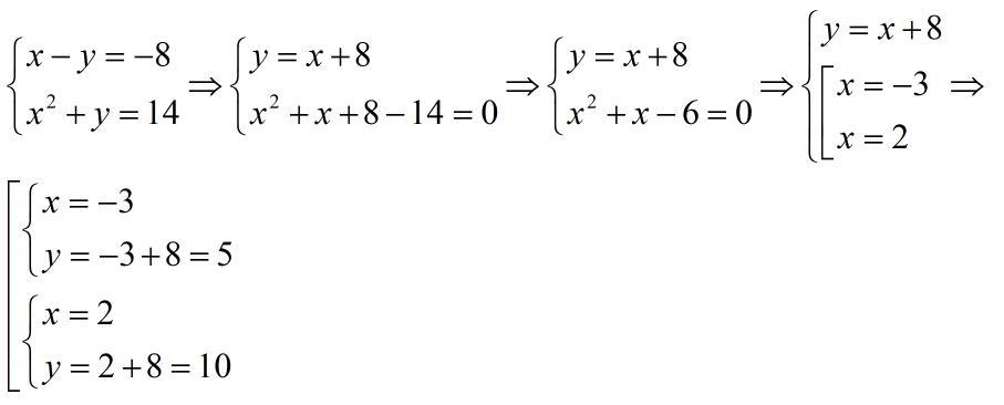
Четвёртое уравнение.

Приложения:

Ответы

Ответ дал: palilov243659
1

Ответ:

Объяснение:

//./////////////////////////////////////////////////////////////

Приложения:
Вас заинтересует