• Предмет: Математика
  • Автор: Landyplay123
  • Вопрос задан 3 года назад

Помогите пж даю много баллов, сделать надо все, где есть варианты можно без решения ​

Приложения:

jtkernifesta: Ты че серьезно, это на 2 минуты задание
Landyplay123: дело не в этом, я просто не умею это решать, раз всего 2 минуты так помоги
jtkernifesta: Погоди немного, я сейчас сделаю в письменным ответом. (развернутым, для списывания)
Landyplay123: Спасибо))))
Landyplay123: ок, время есть

Ответы

Ответ дал: jtkernifesta
1

Ответ:

Вот тебе ответы, кроме B1

Пошаговое объяснение:

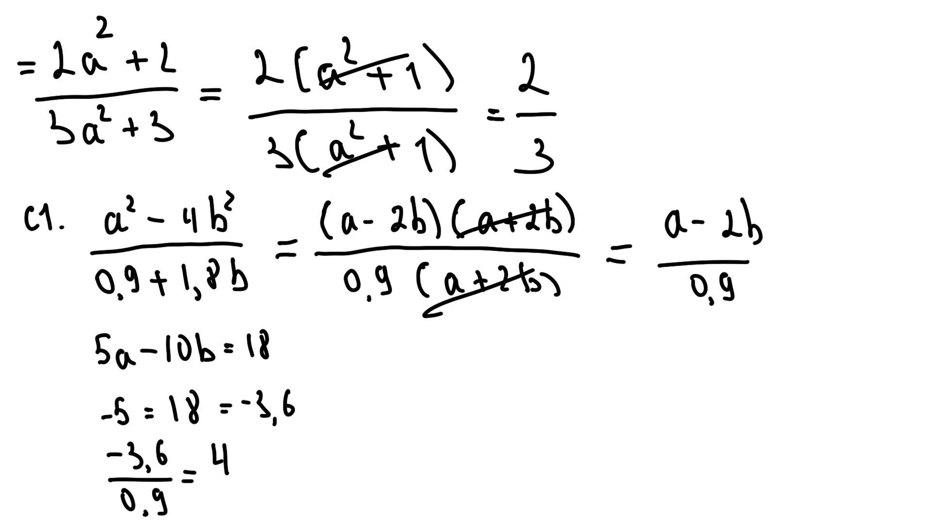
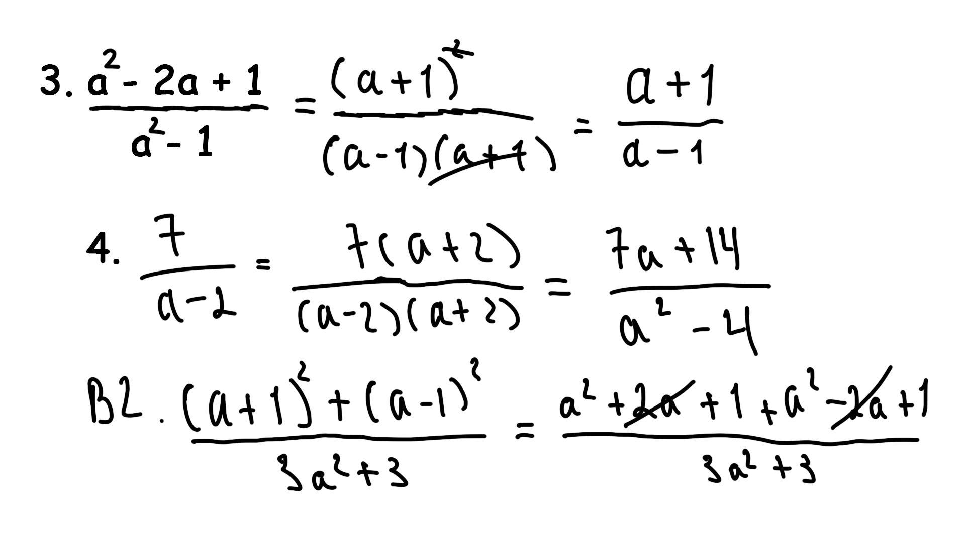
B1 - не сделал, потому что забыл как делать, загуглишь сам короче ( там надо сложить степени, сократить, перемножить )

и да я отошел в туалет, когда это делал, сорри что долго

Приложения:

Landyplay123: ничего))) большое спасибо что помог, этого хватит
Ответ дал: mmkhitaryan07
0

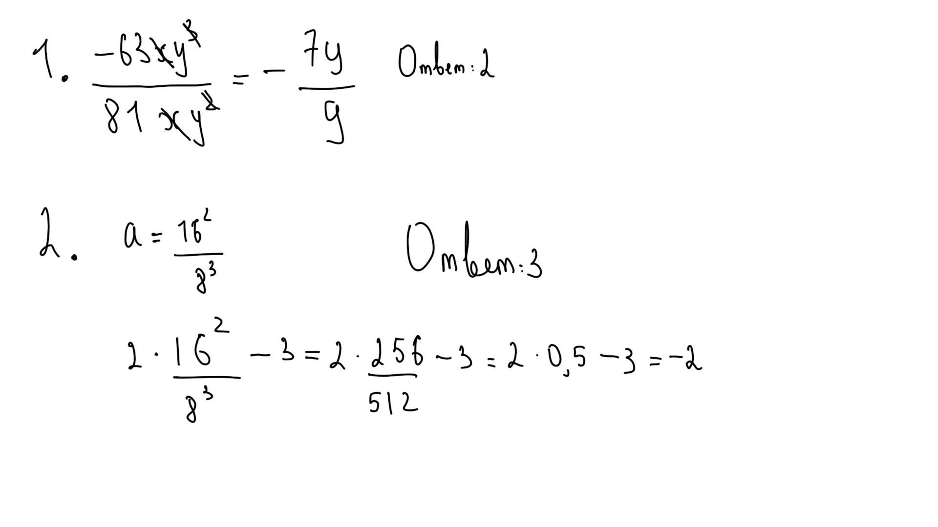
Ответ:

вот это ответ

я всё решил

Приложения:
Вас заинтересует