Ответы
Ответ дал:
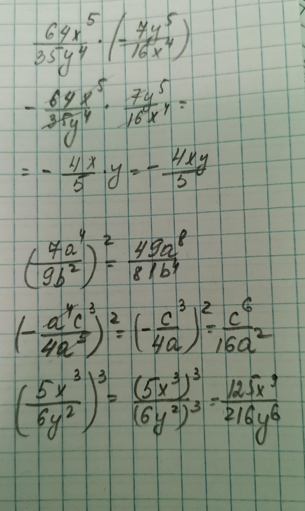
1
Объяснение:
Надеюсь все понятно))) удачи)
Приложения:


SergPutin:
спасибо пока что ставлю 5 звёзд посмотрим на оценку потом
Вас заинтересует
2 года назад
7 лет назад
7 лет назад