решите пожалуйста, у меня просто очень много д/з (даю 20 баллов)
Приложения:

Zombynella:
Спасибо)
Ответы
Ответ дал:
1
Ответ:
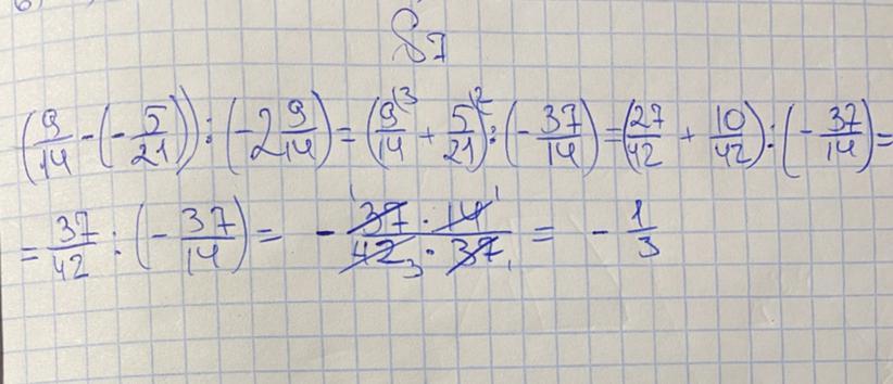
Ответ в фото.
Объяснение:
Решение приложено.
Фото в двух вариантах, решение одно и то же.
Приложения:


https://znanija.com/task/38830857?utm_source=android&utm_medium=share&utm_campaign=question
Ответ дал:
1
Это короче номер 7.....
Приложения:

Вас заинтересует
2 года назад
2 года назад
7 лет назад
7 лет назад
9 лет назад