Пожалуйста, помогите! Желательно не просто ответ, а объяснение как и почему так решается. Или хотя бы просто поэтапно расписать решение.
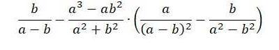
Докажите, что при всех допустимых значениях переменных значение выражения не зависит от значения переменных:
Приложения:

Ответы
Ответ дал:
0
Вас заинтересует
2 года назад
2 года назад
7 лет назад
7 лет назад
9 лет назад