1. а) Начертите угол АОС;
b) внутри угла проведите луч ОВ;
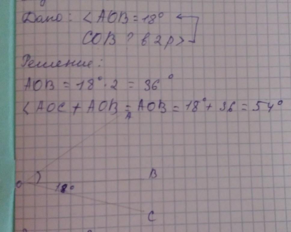
с)найдите величину угла АОС, если угол АОВ = 18o, а угол СОВ в 2 раза больше АОВ
Ответы
Ответ дал:
65
Ответ:
Ответ : угол АОС = 54 градуса
Объяснение:
угол АОВ= 18 градусов
угол СОВ= ?, в 2 раза больше
1) СОВ= АОВ*2=18*2=36
2) АОС= АОВ+СОВ=18+36=54
zleotov:
Угол нарисуешь по транспортиру 54 градуса
Ответ дал:
43
я сор писала вот что у меня получилось
Приложения:

Вас заинтересует
2 года назад
2 года назад
2 года назад
7 лет назад
7 лет назад