Ответы
Ответ дал:
2
Ответ:
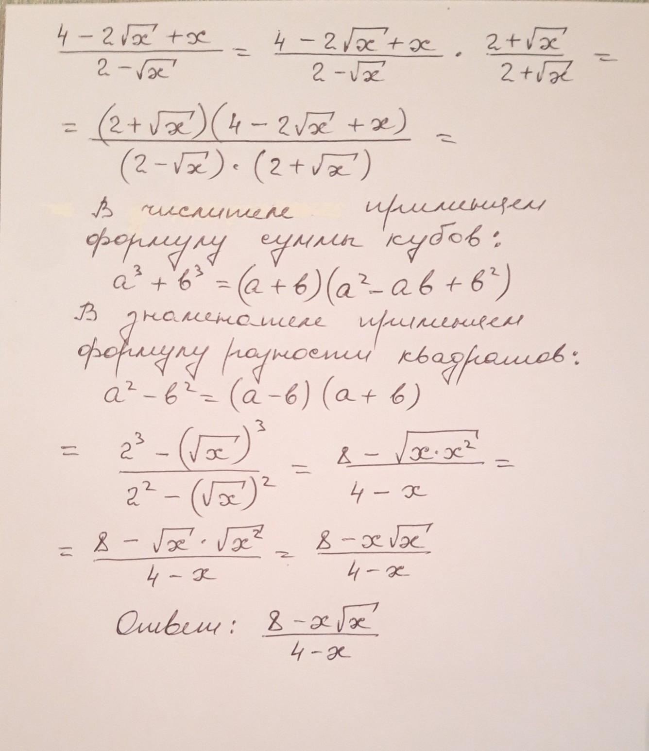
1. В числителе применяем форму
лу (обратную) суммы кубов:
(а+b)(a^2-ab+b^2)=a^3+b^3
2.В знаменателе применяем фор
фулу (обратную) разности квад
ратов:
(а-b)×(a+b)=a^2-b^2.
Ответ:
(8+х×х^(1/2))(4-х)
Пошаговое объяснение:
Прошу 3 мин на загрузку.
Приложения:


LeviAkkerman66613:
Спасибо)
Вас заинтересует
2 года назад
2 года назад
2 года назад
7 лет назад
7 лет назад
9 лет назад