• Предмет: Математика
  • Автор: eparfenencko
  • Вопрос задан 3 года назад

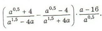
помогите пожалуйстааа​

Приложения:

Ответы

Ответ дал: sia742
1
Ответ: 16/а
Надеюсь, я тебе помогла, всё расписано на фото.
Приложения:
Вас заинтересует