Уважаемые профи и те кто шарит по алгебре, пожалуйста решите четыре уравнения с двумя переменными и постройте графики к ним.
Приложения:
Ответы
Ответ дал:
0
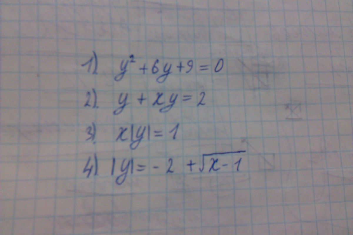
1)
y^2+6y+9=0
D=(6^2)-4*1*9=0
y1=y2=-6/2=-3
(y+3)^=0
y=-3
2)
y+xy=2
y(1+x)=2
y=2/(1+x)
построим график
возмем несколько точек и проводим по этим точкам прямую
например:
x1=0 y1=2/(1+0)=2
x2=1 y2=2/(1+1)=1
и т.д
x неравно -1
3)
x*модуль(y)=1
1 способ
возведем в квадрат
x^2*y=1
y=1/(x^2)
постороим график через точки(пример 2)
2 способ
x*y=1 x*-y=1
y=1/x y=-1/x
построим обе графики и проверяем x и y не верно получается а потом объеденяем правильные
4)такой же способ как и 3 но здесь еще есть ОДЗ
x-1>=0
x>=1
y^2+6y+9=0
D=(6^2)-4*1*9=0
y1=y2=-6/2=-3
(y+3)^=0
y=-3
2)
y+xy=2
y(1+x)=2
y=2/(1+x)
построим график
возмем несколько точек и проводим по этим точкам прямую
например:
x1=0 y1=2/(1+0)=2
x2=1 y2=2/(1+1)=1
и т.д
x неравно -1
3)
x*модуль(y)=1
1 способ
возведем в квадрат
x^2*y=1
y=1/(x^2)
постороим график через точки(пример 2)
2 способ
x*y=1 x*-y=1
y=1/x y=-1/x
построим обе графики и проверяем x и y не верно получается а потом объеденяем правильные
4)такой же способ как и 3 но здесь еще есть ОДЗ
x-1>=0
x>=1
Вас заинтересует
3 года назад
3 года назад
8 лет назад
8 лет назад
11 лет назад
11 лет назад