• Предмет: Алгебра
  • Автор: VVVVZVVVV
  • Вопрос задан 10 лет назад

Вычислите:
а)√144 -10√0,8×√0,2
б)√18+√32-√128
Сравните:
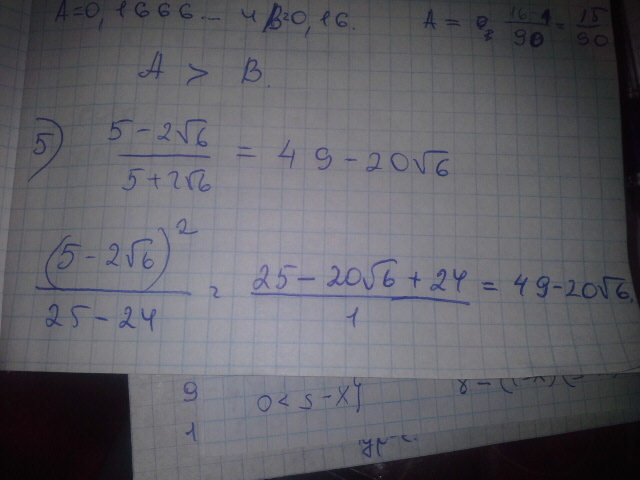
А=0,1(6) В=√0,2²-0,12²

Ответы

Ответ дал: prostomama1
0
Смотри ответ решение на листе
Приложения:
Вас заинтересует