• Предмет: Алгебра
  • Автор: van4aseq
  • Вопрос задан 3 года назад

МОЛЮ бога прошу Вас Алгебра это не мое!!!!!!!!!!!!!!!!!!!!!!! не могу решить!!!!!
кто нибудь!!!! времени нет!!!!!!! полностью с пояснениями!!!!!!! заранее спасибо!!!!!!!
Задано значение а = 12 000 000 и алгебраическое выражение:


- запишите число а в стандартном виде (5 баллов);

- упростите алгебраическое выражение (15 баллов);

- вычислите значение выражения при заданном значении а (5 баллов).

Приложения:

ник121: 1) 12 000 000 = 12×10⁶
van4aseq: я вас просто обожаю спасибо
van4aseq: ник 121
van4aseq: что вы помогаете мне
van4aseq: вот еще
van4aseq: Укажите допустимые значения переменных в выражениях:
van4aseq: https://interneturok.ru/school/lesson/31129/homework/142900

Ответы

Ответ дал: sangers1959
37

Ответ:

Объяснение:

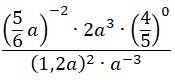
1.

12000000=1,2*10⁷.

2.

\frac{(\frac{5}{6}a)^{-2}*2a^3*(\frac{4}{5})^0  }{(1,2a)^2*a^{-3}} =\frac{(\frac{6}{5a})^2 *2a^3*1*a^3}{(1,2a)^2 }=\frac{(\frac{1,2}{a} )^2*2a^6}{(1,2)^2*a^2} =\frac{(1,2)^2*2a^6}{a^2*(1,2)^2*a^2}=\frac{2a^6}{a^4}=2a^2.

3.

2a^2=2*(1,2*10^7)^2=2*1,44*10^{14}=2,88*10^{14}.


pzakaeva: Спасибо главный мозг
pzakaeva: ГЛАВНЫЙ МОЗГ возите меня к себе в друзья
sangers1959: Давайте.
sangers1959: Шлите просьбу. Я вас приму.
fgvnovoross: Огромное спасибо
pzakaeva: Все я отправила приглашение отправила
sangers1959: Я принял в друзья.
pzakaeva: Главный мозг спасибо что взял в друзья♡
nickmorarijr: О БОЖЕ СПАСИБО!!!!!!!!!!!!
sangers1959: Удачи.
Вас заинтересует
9 лет назад