ПОЖАЛУЙСТА ПОМОГИТЕ
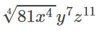
Вынесите множитель из-под знака корня
Приложения:

Artur1505:
3хVx
Ответы
Ответ дал:
0
Ответ:
3xy^7 z^11
Пошаговое объяснение:
всё
всёвсёвсёвсёвсёвсё
Вас заинтересует
2 года назад
2 года назад
7 лет назад