• Предмет: Алгебра
  • Автор: dsemaeva13
  • Вопрос задан 3 года назад

Помогите пожалуйста, срочно!!!
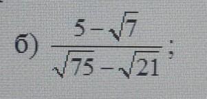
Нужно сократить дробь

Приложения:

Ответы

Ответ дал: Аноним
2

Ответ:

Объяснение:

(5-√7)/(√75-√21)=(√25-√7)/((√25-√7)(√3+√3))=1/(2√3)

Вас заинтересует