• Предмет: Физика
  • Автор: Ksushastuf
  • Вопрос задан 3 года назад

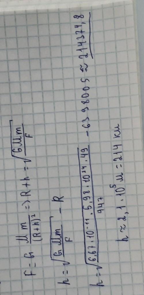
На шарообразное тело массой 49 кг действует сила гравитации, равная 447 Н. На какой высоте над поверхностью Земли находится тело? Радиус Земли считать равным 6398005 м, масса Земли — 5,98⋅1024 кг.

Ответ (округли до целого числа):
км.

Ответы

Ответ дал: nabievakarakoz77
7

Ответ:

........................

Приложения:
Вас заинтересует