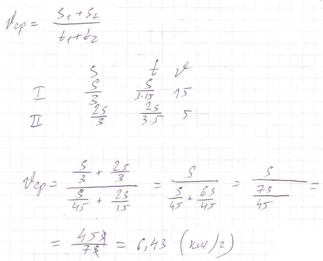
1/3 часть пути человек ехал на велосипеде со скоростью 15 км/ч, а остаток пути со скоростью 5 км/ч какова его средняя скорость на протяжении пути?
ПОМОГИТЕ ПОЖАЛУЙСТА РЕШЕНИЕ И ДАНО ПОЖАЛУЙСТА
Ответы
Ответ дал:
1
Ответ:
средняя скорость равна отношению пройденного пути ко всему затраченному времени
Объяснение:
Приложения:

Вас заинтересует
2 года назад
2 года назад
2 года назад
7 лет назад
7 лет назад
9 лет назад