• Предмет: Информатика
  • Автор: Аноним
  • Вопрос задан 3 года назад

Задача в Pascal
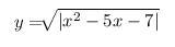
Найти Y при -5<=x<=5 с шагом 0.5

Приложения:

Ответы

Ответ дал: nastikots
1

Ответ:

program z1;

var x:real;

begin

x:=-5;

repeat

writeln ('x = ',x:4,' y = ',sqrt(abs(sqr(x)-5*x-7)):0:3);

x:=x+0.5

until x>5

end.

Объяснение:

Задаём начальное значение х

Используем цикл с постусловием

В нём выводим на печать значения х и у

В нём увеличиваем значение х на шаг

Цикл заканчивается когда х больше 5

Используем форматированный вывод, чтобы столбики были ровными

Вас заинтересует