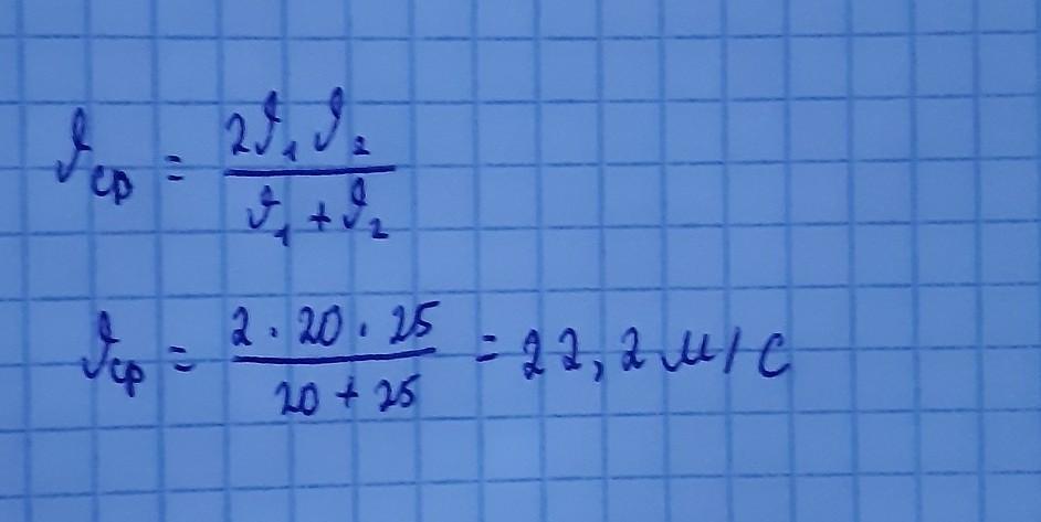
Автомобиль проехал первую половину пути со скоростью υ1 = 20 м/с, вторую половину со скоростью υ2 = 25 м/с. Найдите среднюю скорость автомобиля на всем пути.
Ответы
Ответ дал:
5
Ответ:
..........v= 22,2м/с
Приложения:

Вас заинтересует
2 года назад
2 года назад
2 года назад
7 лет назад
7 лет назад
9 лет назад