• Предмет: Алгебра
  • Автор: goryakin16
  • Вопрос задан 3 года назад

Буду очень признателен вашей помощи. Спасибо большое заранее.

Приложения:

Ответы

Ответ дал: loveelina06
0

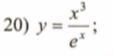
Ответ:

15)х1 sin

20)EX3

Объяснение:

думаю что это понятно

Вас заинтересует