Ответы
Ответ дал:
1
Ответ:
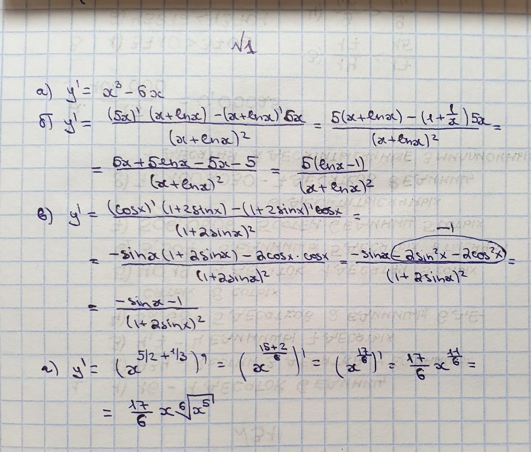
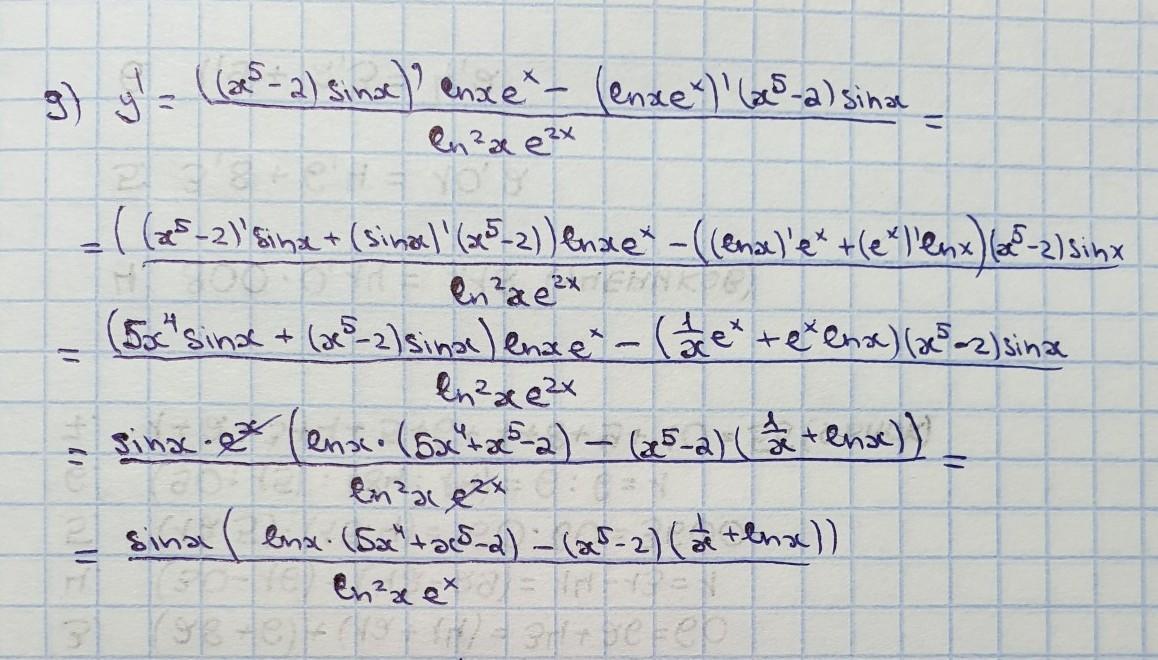
решение на фотографиях
Приложения:



pro100alena15:
Спасибо большое Вам!
Вас заинтересует
2 года назад
2 года назад
7 лет назад
7 лет назад