• Предмет: Математика
  • Автор: litvinovaofficial5
  • Вопрос задан 3 года назад

по братски памагати​

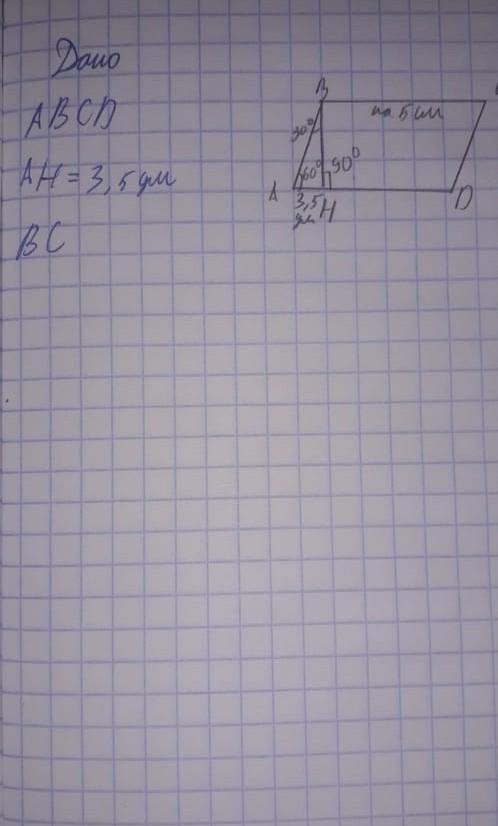
Приложения:

Ответы

Ответ дал: veronikagrabevnik
0

Ответ:

ВС= 4,0

Пошаговое объяснение:

то му шо 1градус це 1 міліметр

Вас заинтересует