Ответы
Ответ дал:
1
Ответ:
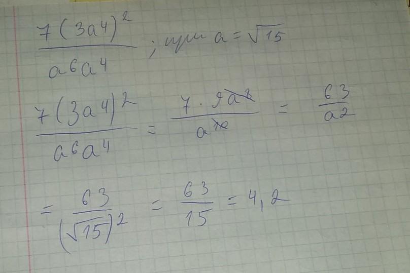
решение в картинке, надеюсь без ошибок
Приложения:

vladislav492:
спасибо огромное!
Вас заинтересует
2 года назад
2 года назад
7 лет назад
7 лет назад