ПО ДЕЙСТВИЯМ !!!!!!!!!!!!!!!!!!!!!
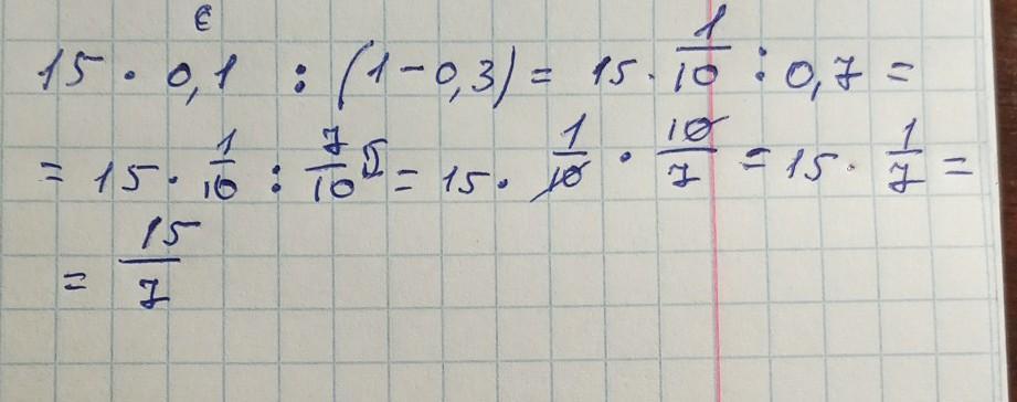
15·c:(1-b)
при b=0,3 c=0,1
НАПИШИТЕ ПОСЛЕДОВАТЕЛЬНОСТЬ ДЕЙСТВИЙ!!!
Пожалуйста...!Уже устала! Столько заданий задано ,что уже последнюю не могу!Голова взрывается!!!!!
Ответы
Ответ дал:
1
Ответ:
Ответ на фото , по действиям !
надеюсь помогла ))
Приложения:

oleksandrareykina:
меня это радует ❤
Вас заинтересует
2 года назад
2 года назад
2 года назад
7 лет назад
7 лет назад
9 лет назад