• Предмет: Алгебра
  • Автор: malta12
  • Вопрос задан 3 года назад

Очень прошу с объяснением.

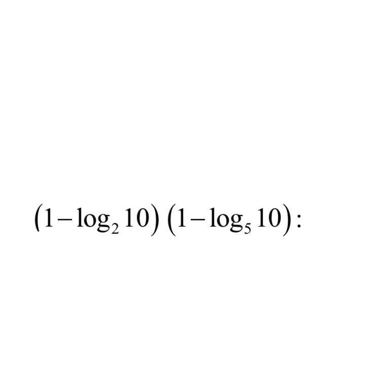
Приложения:

Ответы

Ответ дал: natalyabryukhova
1

Ответ:

Объяснение:

(1-log_210)(1-log_510)=(1-log_2(2*5))(1-log_5(2*5))=(1-log_22-log_25)(1-log_52-log_55)=(1-1-log_25)(1-log_52-1)=-log_25*(-log_52)=1

Вас заинтересует