• Предмет: Алгебра
  • Автор: KASDROM
  • Вопрос задан 3 года назад

Найти неопределенные и определённые интегралы.

Приложения:

Ответы

Ответ дал: MatemaT123
1

Ответ:

Объяснение:

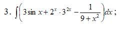
3. \int\ {3sinx} \, dx +\int\ {2^{x}*3^{2x}} \,dx - \int\ {\frac{1}{3^{2}+x^{2}}} \,dx=3\int\ {sinx} \,dx + \int\ {2^{x}*(3^{2})^{x}} \,dx -

-\frac{1}{3}arctg\frac{x}{3}+C=3*(-cosx) + \int\ {(2*9)^{x}} \,dx-\frac{1}{3}arctg\frac{x}{3}+C=-3cosx+

+\int\ {18^{x}} \,dx-\frac{1}{3}arctg\frac{x}{3}+C=-3cosx+\frac{18^{x}}{ln18}-\frac{1}{3}arctg\frac{x}{3}+C;

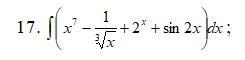
17. \int\ {x^{7}} \,dx - \int\ {\frac{1}{\sqrt[3]{x}}} \,dx + \int\ {2^{x}} \,dx + \int\ {sin2x} \,dx=\frac{x^{7+1}}{7+1} - \int\ {x^{-\frac{1}{3}}} \,dx +

+ \frac{2^{x}}{ln2} + \frac{1}{2}\int\ {sin2x} \,d(2x) = \frac{1}{8}x^{8} - \frac{x^{-\frac{1}{3}+1}}{-\frac{1}{3}+1} + \frac{2^{x}}{ln2} + \frac{1}{2}*(-cos2x) + C=

= \frac{1}{8}x^{8} - \frac{x^{\frac{2}{3}}}{\frac{2}{3}} + \frac{2^{x}}{ln2} - \frac{1}{2}cos2x + C = \frac{1}{8}x^{8} - \frac{3}{2}\sqrt[3]{x^{2}} + \frac{2^{x}}{ln2} - \frac{1}{2}cos2x + C;


KASDROM: Я тебя люблю.Ты мой спаситель.
KASDROM: Как тебе все баллы отдать?
MatemaT123: Так я вроде все получил.
KASDROM: Та просто.Эти примеры надо решить до завтра.Если бы не ты,мне бы 2 поставили в меде.
MatemaT123: В меде значит на медицинском?
KASDROM: Да.
Вас заинтересует