• Предмет: Математика
  • Автор: mmihaa040908
  • Вопрос задан 3 года назад

применив распределительный закон , представьте числитель дроби в виде произведения , а затем сократите: 29*13+29*2/58*30

Ответы

Ответ дал: alenagaranja
1

Пошаговое объяснение:

29×13+29×2/58×30

(13+2)×29/58×30

13+2/2×30

15/60

1/4=0.25

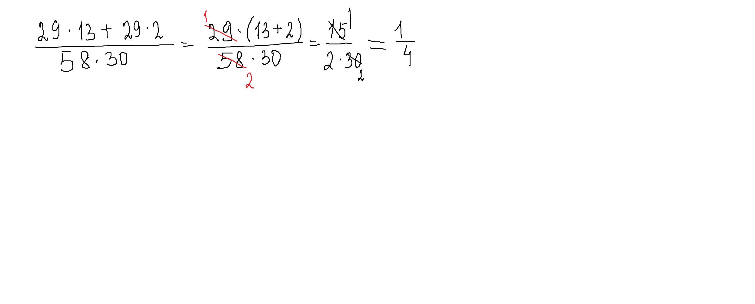
Ответ дал: parus77
0

Ответ:

1\4

Пошаговое объяснение:

решение внизу

Приложения:
Вас заинтересует