• Предмет: Математика
  • Автор: satybaldysymbat497
  • Вопрос задан 3 года назад

пожалуйста помогите решить. нам срочно надо здать ​

Приложения:

Ответы

Ответ дал: sofiyavictoria
1

Ответ:

Пошаговое объяснение:

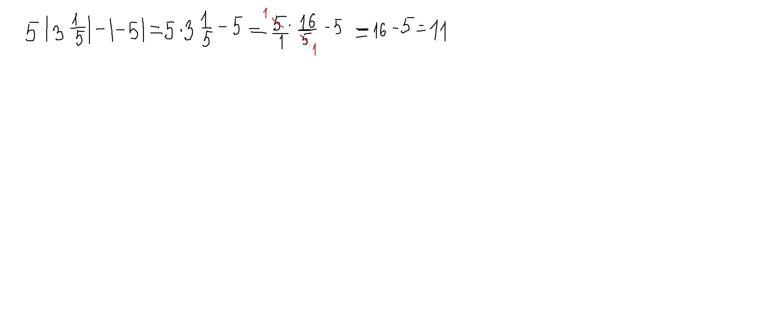
5*|p| - |g|=5*|3 1/5| - |-5| = 5*16/5-5=16-5=11

Ответ дал: parus77
1

Ответ:

11

Пошаговое объяснение:

решение внизу

Приложения:
Вас заинтересует