• Предмет: Математика
  • Автор: veronika8742
  • Вопрос задан 3 года назад

Помогите решить 7 и 8

Приложения:

Ответы

Ответ дал: legodgidai32
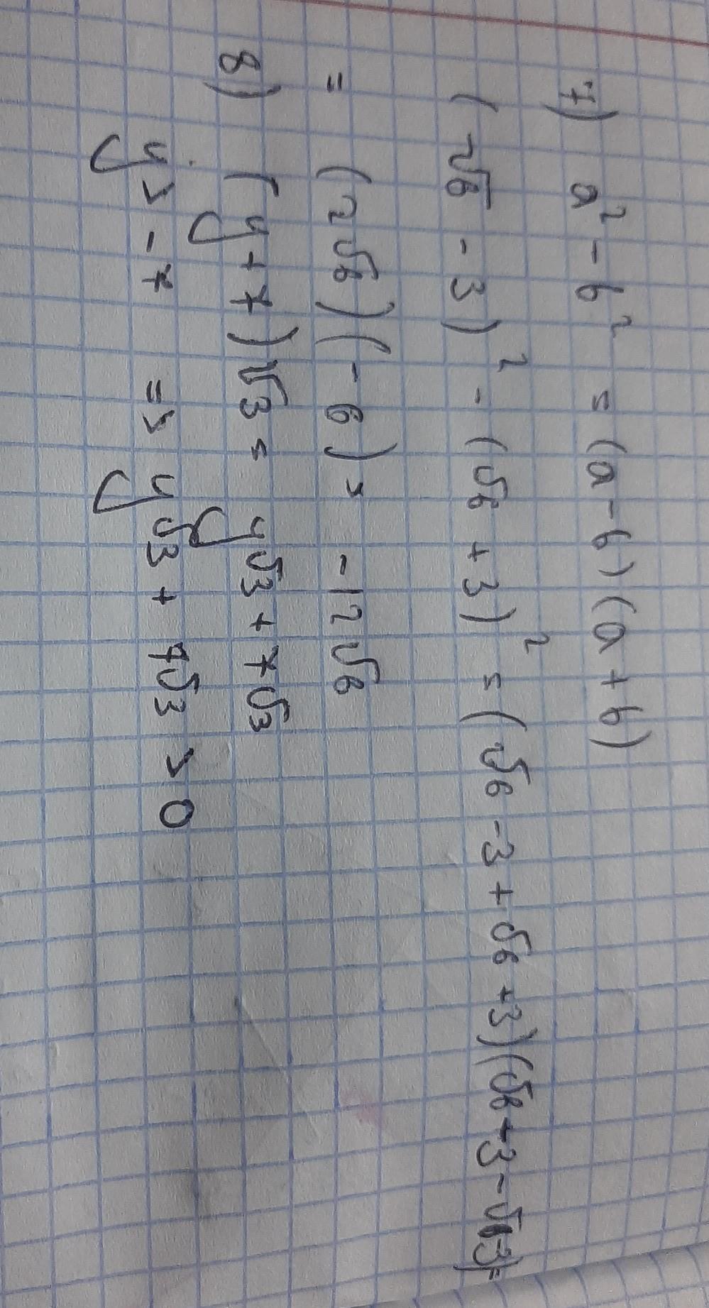
1

если что,то в первом примере я использовал разность квадратов

Приложения:
Ответ дал: Zombynella
1

Ответ:

В решении.

Пошаговое объяснение:

7. Найти значение выражения:

a² - b² =                                                     a=√6-3;   b=√6+3

разность квадратов, развернуть:

= (a-b)*(a+b)=

=(√6-3 - (√6+3))*(√6-3 + √6+3)=

=(√6-3 - √6-3)*(√6-3 + √6+3)=

=(-6)*(2√6) =

= -12√6.

Или просто подставить значения в выражение:

a² - b² =  

=(√6-3)² - (√6+3)²=

квадрат разности и квадрат суммы:

=(6 - 6√6 +9) - (6 + 6√6 + 9)=

=6 - 6√6 +9 - 6 - 6√6 - 9=

= -12√6.

8. Внести множитель под знак корня:

(у+7)*√3 = √(у+7)²*3=

=√(у²+14у+49)*3=

=√3у²+42у+147  (всё под корнем).

Вас заинтересует