• Предмет: Алгебра
  • Автор: anastasiycos20
  • Вопрос задан 3 года назад

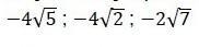
представь числа в виде корень из а и расположи их в порядке возрастания ​

Приложения:

Ответы

Ответ дал: lakOR555
0

Ответ:

-√80, -√32, -√28

Объяснение:

-4√5 = -√80

-4√2 = -√32

-2√7 = -√28

Вас заинтересует