• Предмет: Алгебра
  • Автор: AstoSol
  • Вопрос задан 3 года назад

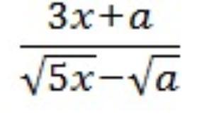
Избавьтесь от иррациональности в знаменателе:

Приложения:

Ответы

Ответ дал: ildar50
0

Ответ:  (3х+а)(√5х+√а)/(5х-а).

Объяснение:

(3х+а)/(√5х-√а)=(3х+а)(√5х+√а)/(√5х-√а)(√5х+√а)=(3х+а)(√5х+√а)/(5х-а);

Вас заинтересует