• Предмет: Алгебра
  • Автор: helpe32r
  • Вопрос задан 3 года назад

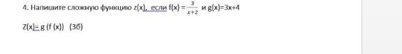
Алгебра..............


Приложения:

Ответы

Ответ дал: NNNLLL54
1

f(x)=\dfrac{3}{x+2}\ \ ,\ \ \ \ g(x)=3x+4\\\\\\z(x)=g(f(x))=3\cdot f(x)+4=3\cdot \dfrac{3}{x+2}+4=\dfrac{9}{x+2}+4=\dfrac{4x+17}{x+2}

Вас заинтересует