• Предмет: Алгебра
  • Автор: Zharas0
  • Вопрос задан 3 года назад

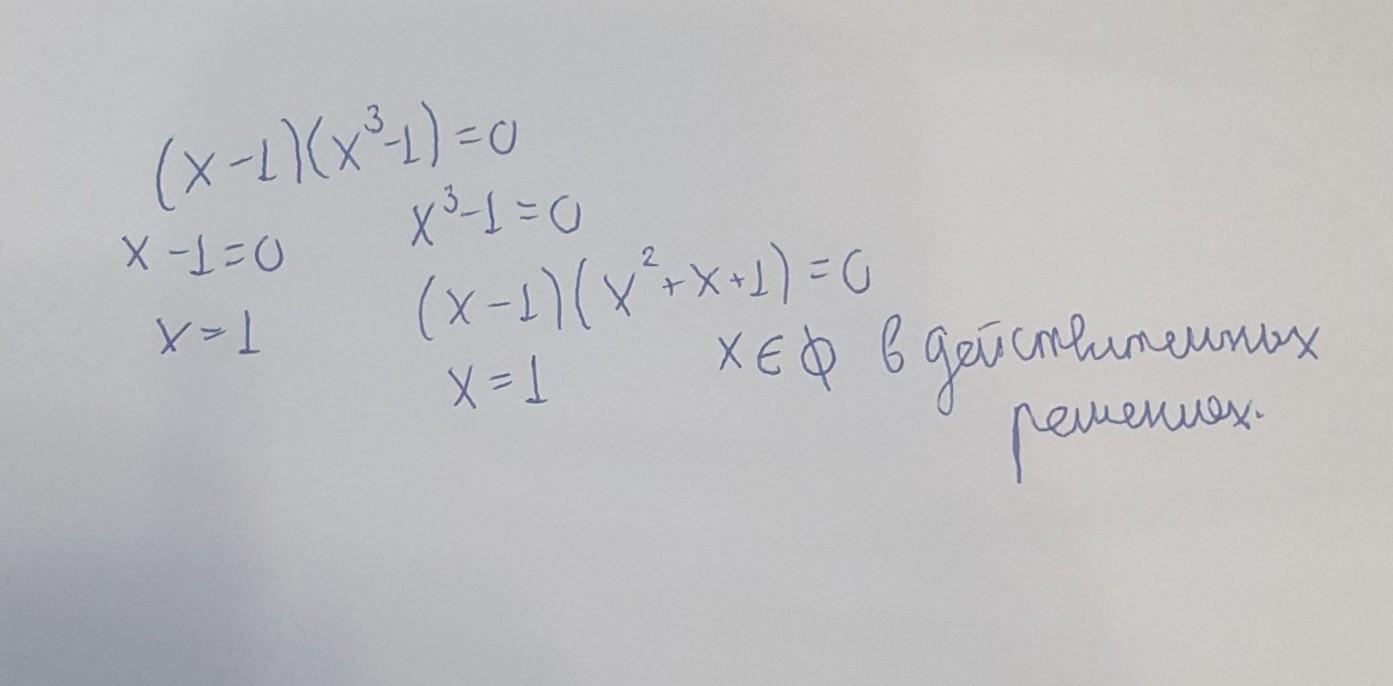
найдите корни многочлена (X-1)(x3-1)

Ответы

Ответ дал: vityamath
0

Объяснение:

Решенре на фото.................

Приложения:
Вас заинтересует