• Предмет: Алгебра
  • Автор: coctail
  • Вопрос задан 3 года назад

решите пожалуйста с решением!)
даю 25 баллов
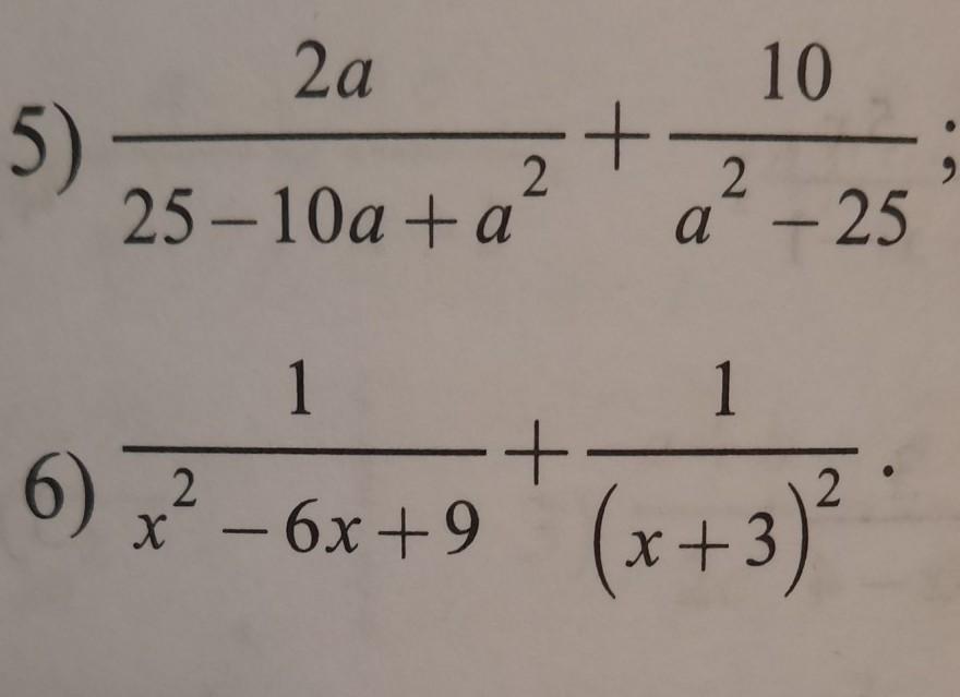
алгебра 5) и 6)
сложить и вычтить алгб. дробь
спасибо жду )!​

Приложения:

Ответы

Ответ дал: oleksandrareykina
1

Ответ:

Ответ на фото , надеюсь помогла и будет лучшый ответ

Приложения:
Вас заинтересует