• Предмет: Алгебра
  • Автор: Grant98
  • Вопрос задан 10 лет назад

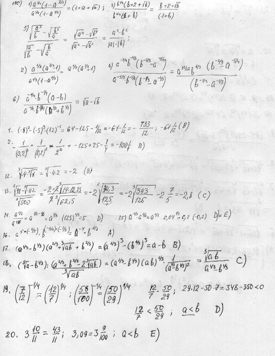
Зделайте, плз, через 2 часа удалю, балов не жалка, только не тупо А Б С Д
Кстати это домашняя работа можете проверить, все вопросы на тему Степень с Рациональным Показателем, просто в конце тесты дали

Приложения:

Ответы

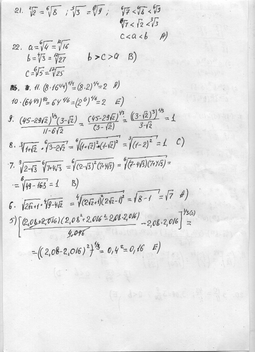
Ответ дал: Опыт
0
решил почти все, не смотря на низкое качество снимков. Только в одном не смог рассмотреть показатели.
Приложения:
Вас заинтересует