• Предмет: Алгебра
  • Автор: Аноним
  • Вопрос задан 3 года назад

помогите пжжжжжжжжжжжжжж​

Приложения:

Ответы

Ответ дал: oleksandrareykina
0

Ответ:

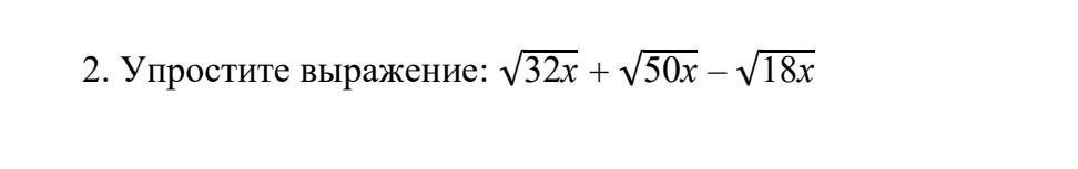
4 \sqrt{2x}  + 5 \sqrt{2x}  - 3 \sqrt{2x}  = 6 \sqrt{2x}

Вас заинтересует