Ответы
Ответ дал:
0
Ответ:
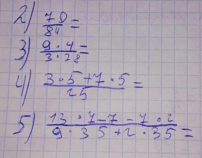
2) 70/84 = 5/6 - сократили на 14
3) (9*4)/(3*28) = (3*4)/28 (сократили 9 и 3 на 3) = 3/7 - сократили 4 и 28 на 4
4) (3*5+7*5)/(25) = (15+35)/25 = 50/25 = 2 - сократили на 25
5) (13*7-7-7*2)/(9*35+2*35) = (7(13-1-2))/(35(9+2) (вынесли 7 в числители и 35 в знаменателе, как общий множитель) = (7*10)/(35*11) = 10/(5*11) (сократили 7 и 35 на 7) = 2/11 - сократили 10 и 5 на 5
Пошаговое объяснение:
Ответ дал:
1
Ответ:
В фото все видно надесь помог :)
Приложения:

Вас заинтересует
2 года назад
2 года назад
2 года назад
7 лет назад
9 лет назад