• Предмет: Алгебра
  • Автор: kurganbaevalera
  • Вопрос задан 3 года назад

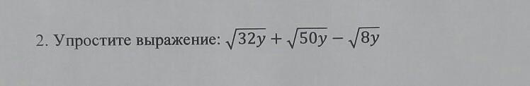
помоги пожалуйста,срочно!!!​

Приложения:

Ответы

Ответ дал: adil6class
0

Ответ:

74 значок не нашол

Объяснение:

вроде точно не знаю


kurganbaevalera: Спасибо,но еще нужно решени)
adil6class: ок
Вас заинтересует