• Предмет: Алгебра
  • Автор: au456
  • Вопрос задан 3 года назад

Исследовать сходимость рядов по интегральному признаку

Приложения:

Ответы

Ответ дал: GluV
0

Ответ:

1) ряд сходится

2) ряд расходится

Объяснение:

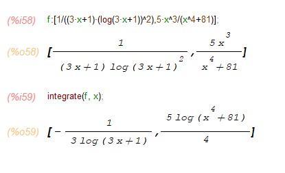
Для первой суммы рассмотрим интеграл \int{\frac{1}{(3x+1)*ln(3x+1)^{2}} \, dx

Он равен -\frac{1}{3*ln(3x+1)}. При {x\to \infty} знаменатель дроби стремится к бесконечности, дробь стремится к нулю. Значит первый ряд сходится.

Для второй суммы рассмотрим интеграл \int{\frac{5x^{3} }{x^{4}+81 } \, dx

Он равен \frac{5 ln(x^{4}+81)}{4}, {x\to \infty} выражение стремится к бесконечности. Значит второй ряд расходится.

Приложения:
Вас заинтересует