• Предмет: Математика
  • Автор: magerovichliza
  • Вопрос задан 3 года назад

Помогите!!!
Даю 15 баллов за правильный ответ
(Только сделайте решение на листике )

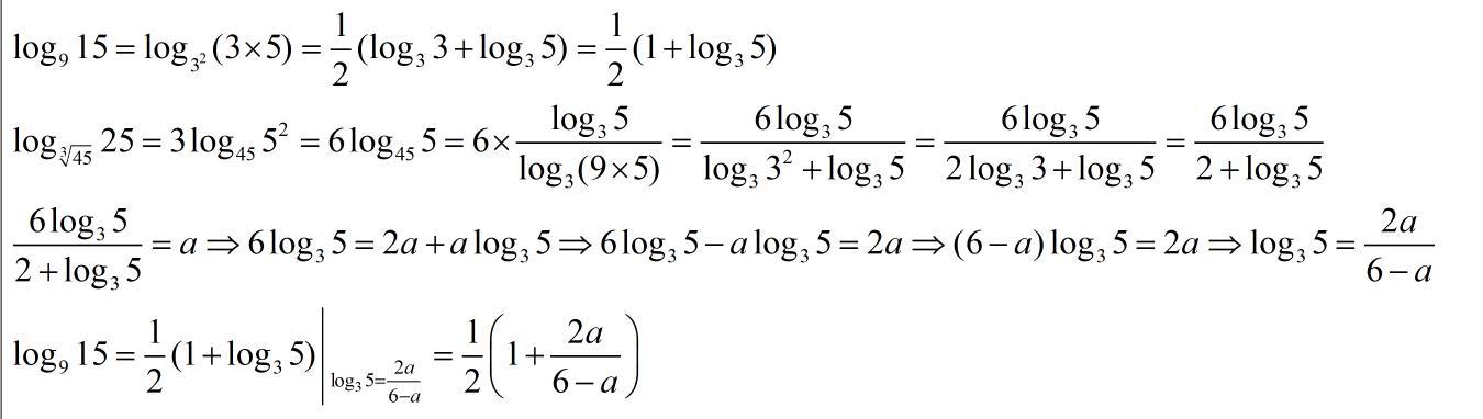
Приложения:

magerovichliza: И если можно,напишите развёрнуто чтобы было понятно

Ответы

Ответ дал: palilov243659
0

Ответ:

Пошаговое объяснение:

......./////////////////////////////////////////////

Приложения:
Вас заинтересует