• Предмет: Алгебра
  • Автор: shahzere09
  • Вопрос задан 3 года назад

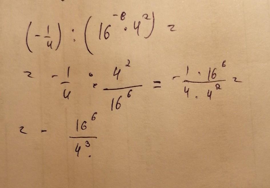
(-\frac{1}{4} ):(16^{-3}*4) ^{2}

Ответы

Ответ дал: sinicinaalesa
0

....................

Приложения:
Вас заинтересует