• Предмет: Алгебра
  • Автор: Deylimeow
  • Вопрос задан 3 года назад

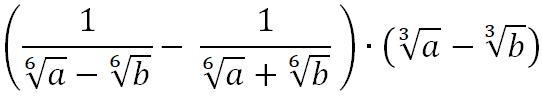
Упростите выражения:

Приложения:

legii155: не понятно как решил...можно с полным решением ? пожалуйста!!))))

Ответы

Ответ дал: baterfly14
0

Ответ:

2 6√а^2b-2√b/3√a-3√b

Вас заинтересует