• Предмет: Алгебра
  • Автор: Аноним
  • Вопрос задан 3 года назад

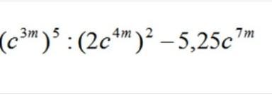
ПОМОГИТЕ ПОЖАЛУЙСТА 7 КЛАСС ПО алгебре ​

Приложения:

Ответы

Ответ дал: evkass23
1

Ответ:

-5с в степени 7m

)))))))

Вас заинтересует